
The Barrowman equations permit you to determine the stability of your rocket by finding the location of the center of pressure (CP). The value computed is the distance from the tip of the rocket's nose to the CP. In order for your rocket to be stable, you would like the CP to be aft of the center of gravity (CG).
The computation of CP isn't as hard as it looks at first. Check out the spreadsheet example at the bottom of this page.
You can find the CG of your rocket by simply finding the balance point after loading recovery system and motor. (Literally - balance the rocket on your hand - or finger - and that's the CG). You can then measure from the tip of the rocket's nose to the CG. The calculated CP distance should be greater than the measured CG distance by one rocket diameter. This is called "one caliber stability".
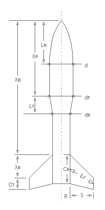
Terms in the equations are defined below (and in the diagram):
| LN | = | length of nose |
| d | = | diameter at base of nose |
| dF | = | diameter at front of transition |
| dR | = | diameter at rear of transition |
| LT | = | length of transition |
| XP | = | distance from tip of nose to front of transition |
| CR | = | fin root chord |
| CT | = | fin tip chord |
| S | = | fin semispan |
| LF | = | length of fin mid-chord line |
| R | = | radius of body at aft end |
| XR | = | distance between fin root leading edge and fin tip leading edge parallel to body |
| XB | = | distance from nose tip to fin root chord leading edge |
| N | = | number of fins |
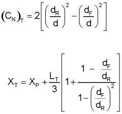
(CN)N = 2
For Cone: XN = 0.666LN
For Ogive: XN = 0.466LN
Sum up coefficients: (CN)R = (CN)N + (CN)T + (CN)F
Find CP Distance from Nose Tip:
Click for an example calculation (for my MinieMagg) using an Excel spreadsheet.
In March, 1967, James S. Barrowman of the National Aeronautics and Space Administration's Sounding Rocket Branch submitted a document entitled 'The Practical Calculation of the Aerodynamic Characteristics of Slender Finned Vehicles' as his Master's thesis to the School of Engineering and Architecture of the Catholic University of America. The document included, among other things, the simple algebraic method described above, capable of determining the center of pressure of a rocket flying subsonically and at small angles of attack to a high order of accuracy.
Your questions and comments regarding this page are welcome.
You can e-mail Randy Culp
(Tripoli #6926) for inquiries, suggestions, new ideas or just to chat.
Updated 24 August 2008